ข้อมูลดัชนีคุณภาพอากาศ
ดัชนีคุณภาพอากาศ (Air Quality Index : AQI)
เป็นการรายงานข้อมูลคุณภาพอากาศในรูปแบบที่ง่ายต่อความเข้าใจของประชาชนทั่วไป เพื่อเผยแพร่ประชาสัมพันธ์ให้สาธารณชนได้รับทราบถึงสถานการณ์มลพิษทางอากาศในแต่ละพื้นที่ว่าอยู่ในระดับใด มีผลกระทบต่อสุขภาพอนามัยหรือไม่ ดัชนีคุณภาพอากาศ 1 ค่า ใช้เป็นตัวแทนค่าความเข้มข้นของสารมลพิษทางอากาศ 4 ชนิด ได้แก่
- ฝุ่นละอองขนาดไม่เกิน 2.5 ไมครอน (PM2.5) เป็นฝุ่นที่มีเส้นผ่านศูนย์กลางไม่เกิน 2.5 ไมครอน เกิดจากการเผาไหม้ทั้งจากยานพาหนะ การเผาวัสดุการเกษตร ไฟป่า และกระบวนการอุตสาหกรรม สามารถเข้าไปถึงถุงลมในปอดได้ เป็นผลทําให้เกิดโรคในระบบทางเดินหายใจ และโรคปอดต่างๆ หากได้รับในปริมาณมากหรือเป็นเวลานานจะสะสมในเนื้อเยื่อปอด ทําให้การทํางานของปอดเสื่อมประสิทธิภาพลง ทําให้หลอดลมอักเสบ มีอาการหอบหืด
- ฝุ่นละอองขนาดไม่เกิน 10 ไมครอน (PM10) เป็นฝุ่นที่มีขนาดเส้นผ่านศูนย์กลางไม่เกิน 10 ไมครอน เกิดจากการเผาไหม้เชื้อเพลิง การเผาในที่โล่ง กระบวนการอุตสาหกรรม การบด การโม่ หรือการทําให้เป็นผงจากการก่อสร้าง ส่งผลกระทบต่อสุขภาพเนื่องจากเมื่อหายใจเข้าไปสามารถเข้าไปสะสมในระบบทางเดินหายใจ
- ก๊าซคาร์บอนมอนอกไซด์ (CO) เป็นก๊าซที่ไม่มีสี กลิ่น และรส เกิดจากการเผาไหม้ที่ไม่สมบูรณ์ของเชื้อเพลิงที่มีคาร์บอนเป็นองค์ประกอบ ก๊าซนี้สามารถสะสมอยู่ในร่างกายได้โดยจะไปรวมตัวกับฮีโมโกลบินในเม็ดเลือดแดงได้ดีกว่าออกซิเจนประมาณ 200-250 เท่า เมื่อหายใจเข้าไปทำให้ก๊าซชนิดนี้จะไปแย่งจับกับฮีโมโกลบินในเลือด เกิดเป็นคาร์บอกซีฮีโมโกลบิน (CoHb) ทำให้การลำเลียงออกซิเจนไปสู่เซลล์ต่างๆ ของร่างกายลดน้อยลง ส่งผลให้ร่างกายเกิดอาการอ่อนเพลีย และหัวใจทำงานหนักขึ้น
- ก๊าซไนโตรเจนไดออกไซด์ (NO2) เป็นก๊าซที่ไม่มีสีและกลิ่น ละลายน้ำได้เล็กน้อย มีอยู่ทั่วไปในธรรมชาติ หรือเกิดจากการกระทำของมนุษย์ เช่น การเผาไหม้เชื้อเพลิงต่างๆ อุตสาหกรรมบางชนิด เป็นต้น ก๊าซนี้มีผลต่อระบบการมองเห็นและผู้ที่มีอาการหอบหืดหรือ โรคเกี่ยวกับทางเดินหายใจ
ดีมาก
0-25
ดีมาก
26-50
ปานกลาง
51-100
เริ่มมีผลกระทบ ต่อสุขภาพ
101-200
มีผลกระทบต่อสุขภาพ
201 >
ตารางที่ 1 เกณฑ์ของดัชนีคุณภาพอากาศของประเทศไทย
| ค่าดัชนีคุณภาพอากาศ (AQI) | สีที่ใช้ | ความหมาย (ระดับคุณภาพอากาศ) | |
| 0 - 25 | ดี |
ข้อควรปฏิบัติ
ประชาชนทุกคนสามารถดำเนินชีวิตได้ตามปกติ
| ค่าดัชนีคุณภาพอากาศ (AQI) | สีที่ใช้ | ความหมาย (ระดับคุณภาพอากาศ) | |
| 26 - 50 | ดีมาก |
ข้อควรปฏิบัติ
ประชาชนทั่วไป : สามารถทำกิจกรรมกลางแจ้งได้ตามปกติ
ประชาชนกลุ่มเสี่ยง : ควรสังเกตอาการผิดปกติ เช่น ไอบ่อย หายใจลำบาก หายใจถี่ หายใจไม่ออก หายใจมีเสียงวี้ด แน่นหน้าอก เจ็บหน้าอก ใจสั่น คลื่นไส้ เมื่อยล้าผิดปกติ หรือ วิงเวียนศีรษะ
ประชาชนกลุ่มเสี่ยง : ควรสังเกตอาการผิดปกติ เช่น ไอบ่อย หายใจลำบาก หายใจถี่ หายใจไม่ออก หายใจมีเสียงวี้ด แน่นหน้าอก เจ็บหน้าอก ใจสั่น คลื่นไส้ เมื่อยล้าผิดปกติ หรือ วิงเวียนศีรษะ
| ค่าดัชนีคุณภาพอากาศ (AQI) | สีที่ใช้ | ความหมาย (ระดับคุณภาพอากาศ) | |
| 51 - 200 | ปานกลาง |
ข้อควรปฏิบัติ
ประชาชนทั่วไป :
ลดระยะเวลาการทำกิจกรรมหรือการออกกำลังกายกลางแจ้งที่ใช้แรงมาก
ประชาชนกลุ่มเสี่ยง :
- ใช้อุปกรณ์ป้องกันตนเอง เช่น หน้ากากป้องกัน PM2.5 ทุกครั้ง ที่ออกนอกอาคาร
- ลดระยะเวลาการทำกิจกรรมหรือการออกกำลังกายกลางแจ้งที่ใช้แรงมาก
- หากมีอาการผิดปกติให้รีบปรึกษาแพทย์
ลดระยะเวลาการทำกิจกรรมหรือการออกกำลังกายกลางแจ้งที่ใช้แรงมาก
ประชาชนกลุ่มเสี่ยง :
- ใช้อุปกรณ์ป้องกันตนเอง เช่น หน้ากากป้องกัน PM2.5 ทุกครั้ง ที่ออกนอกอาคาร
- ลดระยะเวลาการทำกิจกรรมหรือการออกกำลังกายกลางแจ้งที่ใช้แรงมาก
- หากมีอาการผิดปกติให้รีบปรึกษาแพทย์
| ค่าดัชนีคุณภาพอากาศ (AQI) | สีที่ใช้ | ความหมาย (ระดับคุณภาพอากาศ) | |
| 101 - 200 | เริ่มมีผลกระทบต่อสุขภาพ |
ข้อควรปฏิบัติ
ประชาชนทั่วไป :
- ใช้อุปกรณ์ป้องกันตนเอง เช่น หน้ากากป้องกัน PM2.5 ทุกครั้งที่ออกนอกอาคาร
- จำกัดระยะเวลาในการทำกิจกรรมหรือการออกกำลังกายกลางแจ้งที่ใช้แรงมาก
- ควรสังเกตอาการผิดปกติ เช่น ไอ หายใจลำบาก ระคายเคืองตา
ประชาชนกลุ่มเสี่ยง :
- ใช้อุปกรณ์ป้องกันตนเอง เช่น หน้ากากป้องกัน PM2.5 ทุกครั้งที่ออกนอกอาคาร
- เลี่ยงการทำกิจกรรมหรือการออกกำลังกายกลางแจ้งที่ใช้แรงมาก
- ให้ปฏิบัติตามคำแนะนำของแพทย์ หากมีอาการผิดปกติให้รีบไปพบแพทย์
- ใช้อุปกรณ์ป้องกันตนเอง เช่น หน้ากากป้องกัน PM2.5 ทุกครั้งที่ออกนอกอาคาร
- จำกัดระยะเวลาในการทำกิจกรรมหรือการออกกำลังกายกลางแจ้งที่ใช้แรงมาก
- ควรสังเกตอาการผิดปกติ เช่น ไอ หายใจลำบาก ระคายเคืองตา
ประชาชนกลุ่มเสี่ยง :
- ใช้อุปกรณ์ป้องกันตนเอง เช่น หน้ากากป้องกัน PM2.5 ทุกครั้งที่ออกนอกอาคาร
- เลี่ยงการทำกิจกรรมหรือการออกกำลังกายกลางแจ้งที่ใช้แรงมาก
- ให้ปฏิบัติตามคำแนะนำของแพทย์ หากมีอาการผิดปกติให้รีบไปพบแพทย์
| ค่าดัชนีคุณภาพอากาศ (AQI) | สีที่ใช้ | ความหมาย (ระดับคุณภาพอากาศ) | |
| 201 > | มีผลกระทบต่อสุขภาพ |
ข้อควรปฏิบัติ
ประชาชนกลุ่มเสี่ยง :
- งดกิจกรรมกลางแจ้ง
- หากมีความจำเป็นต้องทำกิจกรรมกลางแจ้งให้ใช้อุปกรณ์ป้องกันตนเองทุกครั้ง เช่น หน้ากากป้องกัน PM2.5
- หากมีอาการผิดปกติให้รีบไปพบแพทย์
- ผู้ที่มีโรคประจำตัว ควรอยู่ในพื้นที่ปลอดภัยจากมลพิษทางอากาศ ให้เตรียมยาและอุปกรณ์ที่จำเป็นให้พร้อมและปฏิบัติตามคำแนะนำของแพทย์อย่างเคร่งครัด
- งดกิจกรรมกลางแจ้ง
- หากมีความจำเป็นต้องทำกิจกรรมกลางแจ้งให้ใช้อุปกรณ์ป้องกันตนเองทุกครั้ง เช่น หน้ากากป้องกัน PM2.5
- หากมีอาการผิดปกติให้รีบไปพบแพทย์
- ผู้ที่มีโรคประจำตัว ควรอยู่ในพื้นที่ปลอดภัยจากมลพิษทางอากาศ ให้เตรียมยาและอุปกรณ์ที่จำเป็นให้พร้อมและปฏิบัติตามคำแนะนำของแพทย์อย่างเคร่งครัด
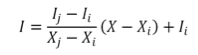
การคำนวณดัชนีคุณภาพอากาศรายวันของสารมลพิษทางอากาศแต่ละประเภท
คำนวณจากค่าความเข้มข้นของสารมลพิษทางอากาศจากข้อมูลผลการตรวจวัดคุณภาพอากาศ โดยมีระดับของค่าความเข้มข้นของสารมลพิษทางอากาศที่เทียบเท่ากับค่าดัชนีคุณภาพอากาศที่ระดับต่างๆ ดัง (ตารางที่ 2) การคำนวณดัชนีคุณภาพอากาศภายในช่วงระดับ เป็นสมการเส้นตรง ดังนี้
-
กำหนดให้
-
I = ค่าดัชนีย่อยคุณภาพอากาศ
X = ความเข้มข้นของสารมลพิษทางอากาศจากการตรวจวัด
Xi , Xj = ค่าต่ำสุด, สูงสุด ของช่วงความเข้มข้นสารมลพิษที่มีค่า X
Ii , Ij = ค่าต่ำสุด, สูงสุด ของช่วงดัชนีคุณภาพอากาศที่ตรงกับช่วงความเข้มข้น X จากค่าดัชนีย่อยที่คำนวณได้ สารมลพิษทางอากาศประเภทใดมีค่าดัชนีสูงสุด
จะใช้เป็นดัชนีคุณภาพอากาศ (AQI) ณ ช่วงเวลานั้น
| AQI | PM2.5 (มคก./ลบ.ม.) | PM10 (มคก./ลบ.ม.) | CO (ppm) | NO2 (ppb) |
|---|---|---|---|---|
| เฉลี่ย 24 ชั่วโมงต่อเนื่อง | เฉลี่ย 24 ชั่วโมงต่อเนื่อง | เฉลี่ย 8 ชั่วโมงต่อเนื่อง | เฉลี่ย 1 ชั่วโมง | |
0 - 25 |
0 - 15.0 |
0 - 50 |
0 - 44 |
0 - 60 |
26 - 50 |
15.1 - 25.0 |
51 - 80 |
4.5 - 6.4 |
61 - 106 |
51 - 100 |
25.1 - 37.5 |
81 - 120 |
6.5 - 9.0 |
107 - 170 |
101 - 200 |
37.6 - 75.0 |
121 - 180 |
9.1 - 30.0 |
171 - 340 |
201 > |
75.1 > |
181 > |
30.1 > |
401 > |